
(31)
A.abab
B.aaaa
C.babb
D.abba
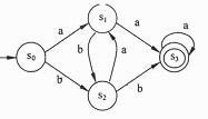
[单选题]下图所示的有限自动机中,s0是初始状态,s1为终止状态,该自动机不能识别( )。A.ababB.aaaaC.babbD.abba
[单选题] 下图所示的有限自动机中, 0是初始状态, 3是终止状态,该自动机可以识别 (22) 。(22)A. ababB. aaaaC. bbbbD. abba
[单选题] 下图所示的有限自动机中,0 是初始状态,3 是终止状态,该自动机可以识别 (22) 。(22)A. ababB. aaaaC. bbbbD. abba
[单选题]下图所示的有限自动机中,0是初始状态,3是终止状态,该自动机可以识别(22)。A.ababB.aaaaC.bbbbD.abba
[单选题]某有限状态自动机的状态图如下图所示(状态0是初态,状态2是终态),则该自动机不能识别______。A.ababB.aabbC.bbaaD.BbabA.B.C.D.
[单选题]设有穷自动机的状态转换图如下图,该自动机识别的语言是(29)。A.∑={0,1)上的所有符号串的集合,但不包含空符号串B.空符号串集合C.∑={0,1)上的所有符号串的集合,包含空符号串D.空集合
[试题] 下图是一有限 自动机的状态转换图,该自动机所识别语言 的特点是 (45 ) ,等价 的正规式为 (46 ) 。45 )A. 由符号a、b 构成且包含偶数个a 的串B. 由符号a、b 构成且开头和结尾符号都为a 的串C. 由符号a、b 构成的任意串D. 由符号a、b 构成且 b 的前后必须为a 的串(46 )A. (a|b)*(aa)* B. a(a|b)*a C. (a|b)* D. a(ba)*a
[单选题] 某有限状态自动机的状态图如下图所示(状态 0是初态,状态2是终态),则该自动机不能识别 (30) 。(30)A. ababB. aabbC. bbaaD. bbab
[单选题]下图是一有限自动机的状态转换图,该自动机所识别语言的特点是(45),等价的正规式为(46)。A.由符号a、b构成且包含偶数个a的串B.由符号a、b构成且开头和结尾符号都为a的串C.由符号a、b构成的任意串D.由符号a、b构成且b的前后必须为a的串
[单选题]某有限状态自动机的状态图如图2-4所示(状态0是初态,状态2是终态),则该自动机不能识别()。A . ababB . aabbC . bbaaD . bbab