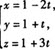
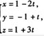
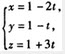
设直线L的方程为

则L的参数方程是().
A . 
B . 
C . 
D . 
[单选题]设直线的方程为,则直线()。kA . 过点(1,-1,0),方向向量为2i+j-kB . 过点(1,-1,0),方向向量为2i-j+kC . 过点(-1,1,0),方向向量为-2i-j+kD . 过点(-1,1,0),方向向量为2i+j-
[单选题]设空间直线的对称式方程为,则该直线必()。A . 过原点且垂直于x轴B . 过原点且垂直于y轴C . 过原点且垂直于z轴D . 过原点且平行于x轴
[单选题]设直线的方程为x=y-1=z,平面的方程为x-2y+z=0,则直线与平面()。A . 重合B . 平行不重合C . 垂直相交D . 相交不垂直
[单选题]设直线的方程为x=y-1=z,平面的方程为x-2y+z=0,则直线与平面()。A.重合B.平行不重合C.垂直相交D.相交不垂直
[单选题]设直线的方程为x=y-1=z,平面的方程为x-2y+z=0,则直线与平面()。A.重合B.平行不重合C.垂直相交D.相交不垂直
[单选题]设平面的方程为x+y+z+1=0,直线的方程为1-x=y+1=z,则直线与平面()。A.平行B.垂直C.重合D.相交但不垂直
[单选题]设平面的方程为x+y+z+1=0,直线的方程为1-x=y+1=z,则直线与平面()。A.平行B.垂直C.重合D.相交但不垂直
[单选题]设直线方程为x=y-1=z,平面方程为x-2y+z=0,则直线与平面( )。[2011年真题]A.重合B.平行不重合C.垂直相交D.相交不垂直
[单选题]设直线方程为x=y-1=z,平面方程为x-2y+z=0,则直线与平面( )。[2011年真题]A.重合B.平行不重合C.垂直相交D.相交不垂直
[单选题]设直线方程为x=y-1=z,平面方程为x-2y+z=0,则直线与平面( )。[2011年真题]A.重合B.平行不重合C.垂直相交D.相交不垂直