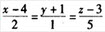
过点(4,-1,3)且平行于直线
的直线方程为().
A . 
B . 
C . 
D . 
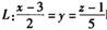
[单选题]过点(1,-2,3)且平行于z轴的直线的对称式方程是( )。A.B.C.z=3D.
[单选题]过点(1,-2,3)且平行于z轴的直线的对称式方程是( )。A.B.C.z=3D.
[单选题]过点(1,-2,3)且平行于z轴的直线的对称式方程是( )。A.B.C.z=3D.
[单选题]过点(1,-2,3)且平行于z轴的直线的对称式方程是( )。A.B.C.z=3D.
[单选题]过点(1,-2,3)且平行于z轴的直线的对称式方程是( )。A.B.C.z=3D.
[单选题]过点(1,-2,3)且平行于z轴的直线的对称式方程是( )。A.B.C.z=3D.
[单选题]过点(1,-2,3)且平行于z轴的直线的对称式方程是( )。A.B.C.z=3D.
[单选题]过点(1,-2,3)且平行于z轴的直线的对称式方程是( )。A.B.C.z=3D.
[单选题]过点(1,-2,3)且平行于z轴的直线的对称式方程是( )。A.B.C.z=3D.
[单选题]过点(1,-2,3)且平行于z轴的直线的对称式方程是( )。A.B.C.z=3D.