A . ['y=|x|
B . 
C . 
D . y=|sinx|
[单选题]下列函数在x=0处可导的是()。A.A=|x|B.C.D.y=|sinx|
[单选题]设函数f(x0)在x处可导,则(),A . -f′(x0)B . f′(-x0)C . f′(x0)D . 2f′(x0)
[单选题]已知函数在x0处可导,且的值是:()A . 4B . -4C . -2D . 2
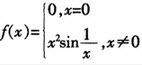
[单选题]设函数,若f(x)在x=0处可导,则以的值是:()A . 1B . 2C . 0D . -1
[单选题]下列函数中,在x=0处不可导的是( )。A.f(x)=|x|sin|x|B.C.f(x)=cos|x|D.
[单选题]下列函数中,在x=0处不可导的是( )。A.B.C.D.
[单选题]下列函数中,在x=0处不可导的是( )。A.f(x)=|x|sin|x|B.C.f(x)=cos|x|D.
[单选题]设函数f(x)在x=x0的某邻域内连续,在x=x0处可导,则函数f(x)|f(x)|在x=x0处( )。A.可导,且导数为B.可导,且导数为C.可导
[单选题]设函数f(x)在x=x0的某邻域内连续,在x=x0处可导,则函数f(x)|f(x)|在x=x0处( )。A.可导,且导数为B.可导,且导数为C.可导
[单选题]设函数f(x)在x=x0的某邻域内连续,在x=x0处可导,则函数f(x)|f(x)|在x=x0处( )。A.可导,且导数为B.可导,且导数为C.可导