A.
B.
C.
D.
E.
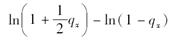
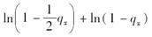
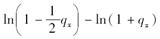
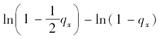
[单选题]某一产品的死亡力为μx+t,经一精算师测算,死亡力应修正为μx+t-C。原来的产品损坏概率为qx,死亡力修正后一年内该产品损坏的概率减半,则常数C=(
[单选题]某一群体在出生时男女人数相等,且男性的死亡力为μm(x)=0.09(x≥0),女性的死亡力为μf(x)=0.07(x≥0),则这个人群50岁的死亡概率
[单选题]寿命表中,若x岁到x+1岁的死亡概率为1qx,x+1岁到x+2岁的死亡概率为1qx+1,则z岁到x+2岁的死亡概率为A.1qx×1qx+1B.1-1qx×1qx+1C.(1-1qx)×(1-1qx+1)D.1-(1-1qx)×(1-1qx+1)E.1qx+1qx+1
[单选题]寿命表中,若X岁到X+1岁的死亡概率为1qx,X+1岁到X+2岁的死亡概率为1qx+1,则X岁到X+2岁的死亡概率为A.1qx×lqx+1B.1—1qx1qx+1C.(1一lqx)(1-1qx+1)D.1一(1-1qx)(1-1qx+1)E.1qx+1qx+1
[单选题,A1型题] 寿命表中,若x岁到x+1岁的死亡概率为,嚷,x+1岁到x+2岁的死亡概率为,则x岁到x+2岁的死亡概率为()A . AB . BC . CD . DE . E
[单选题]已知x岁的人在[x,x+1]上服从常数死亡力分布,x为非负整数,0<u<1,0<t<1,u+t≤1,则下列表达式中正确的为( )。A.μx+u+t=
[单选题]如果40岁以前死亡力为μ=0.04,40岁之后死亡力提高到0.06,则25岁的人在未来25年内的期望存活时间为( )。A.13.14B.14.25C
[判断题] 某区一年内死亡200人,其中16人因癌症死亡,癌症死亡率为8% 。A . 正确B . 错误
[单选题]已知lx=12,lx+1=9,假设K为x岁人在Balducci假设下在前1/3年死亡的概率,L为x岁人在死亡时间均匀分布假设下在后2/3年死亡的概率,
[单选题]已知lx=12,lx+1=9,假设K为x岁人在Balducci假设下在前1/3年死亡的概率,L为x岁人在死亡时间均匀分布假设下在后2/3年死亡的概率,