[单选题]

微分方程(1+y)dx-(1-x)dy=0的通解是()。

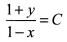
A.

B.

C.(1-x)(1+y):c

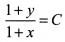
D.

参考答案与解析:

相关试题

求微分方程dy£¯dx £«y=e£­x的通解.

[试题]求微分方程dy/dx +y=e-x的通解.

  • 查看答案
  • 解微分方程y(1+x2)dy=x(1+y2)dx

    [问答题]解微分方程y(1+x2)dy=x(1+y2)dx

  • 查看答案
  • 微分方程ydx+(x-y)dy=0的通解是()。

    [单选题]微分方程ydx+(x-y)dy=0的通解是()。A . ['['B . C . xy=CD .

  • 查看答案
  • 微分方程ydx+(x-y)dy=0的通解是()。

    [单选题]微分方程ydx+(x-y)dy=0的通解是()。A.B.C.xy=CD.

  • 查看答案
  • 微分方程ydx+(x-y)dy=0的通解是()。

    [单选题]微分方程ydx+(x-y)dy=0的通解是()。A.B.C.xy=CD.

  • 查看答案
  • 微分方程(ex+y+ex)dx+(ex+y-ey)dy=0的通解是(  ).

    [单选题]微分方程(ex+y+ex)dx+(ex+y-ey)dy=0的通解是(  ).A.B.C.D.

  • 查看答案
  • 微分方程(ex+y+ex)dx+(ex+y-ey)dy=0的通解是(  ).

    [单选题]微分方程(ex+y+ex)dx+(ex+y-ey)dy=0的通解是(  ).A.B.C.D.

  • 查看答案
  • 微分方程(ex+y+ex)dx+(ex+y-ey)dy=0的通解是(  ).

    [单选题]微分方程(ex+y+ex)dx+(ex+y-ey)dy=0的通解是(  ).A.B.C.D.

  • 查看答案
  • 微分方程(3+2y)xdx+(1+x2)dy=0的通解为(  )。

    [单选题]微分方程(3+2y)xdx+(1+x2)dy=0的通解为(  )。A.1+x2=CyB.(1+x2)(3+2y)=CC.(3+2y)2=D.(1+x2

  • 查看答案
  • 微分方程(3+2y)xdx+(1+x2)dy=0的通解为(  )。

    [单选题]微分方程(3+2y)xdx+(1+x2)dy=0的通解为(  )。A.1+x2=CyB.(1+x2)(3+2y)=CC.(3+2y)2=D.(1+x2

  • 查看答案
  • 微分方程(1+y)dx-(1-x)dy=0的通解是()。