[单选题]

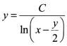
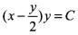
微分方程ydx+(x-y)dy=0的通解是()。

A.

B.

C.xy=C

D.

参考答案与解析:

相关试题

微分方程ydx+(x-y)dy=0的通解是()。

[单选题]微分方程ydx+(x-y)dy=0的通解是()。A . ['['B . C . xy=CD .

  • 查看答案
  • 微分方程ydx+(x-y)dy=0的通解是()。

    [单选题]微分方程ydx+(x-y)dy=0的通解是()。A.B.C.xy=CD.

  • 查看答案
  • 微分方程ydx+(x-y)dy=0的通解是(  )。[2010年真题]

    [单选题]微分方程ydx+(x-y)dy=0的通解是(  )。[2010年真题]A.B.C.D.

  • 查看答案
  • 微分方程ydx+(x-y)dy=0的通解是(  )。[2010年真题]

    [单选题]微分方程ydx+(x-y)dy=0的通解是(  )。[2010年真题]A.B.C.D.

  • 查看答案
  • 微分方程ydx+(x-y)dy=0的通解是(  )。[2010年真题]

    [单选题]微分方程ydx+(x-y)dy=0的通解是(  )。[2010年真题]A.B.C.D.

  • 查看答案
  • 微分方程ydx+(x-y)dy=0的通解是(  )。[2010年真题]

    [单选题]微分方程ydx+(x-y)dy=0的通解是(  )。[2010年真题]A.B.C.D.

  • 查看答案
  • 微分方程ydx+(x-y)dy=0的通解是(  )。[2010年真题]

    [单选题]微分方程ydx+(x-y)dy=0的通解是(  )。[2010年真题]A.B.C.D.

  • 查看答案
  • 微分方程ydx+(x-y)dy=0的通解是(  )。[2010年真题]

    [单选题]微分方程ydx+(x-y)dy=0的通解是(  )。[2010年真题]A.B.C.D.

  • 查看答案
  • 微分方程ydx+(x-y)dy=0的通解是(  )。[2010年真题]

    [单选题]微分方程ydx+(x-y)dy=0的通解是(  )。[2010年真题]A.B.C.D.

  • 查看答案
  • 微分方程ydx+(x-y)dy=0的通解是(  )。[2010年真题]

    [单选题]微分方程ydx+(x-y)dy=0的通解是(  )。[2010年真题]A.B.C.D.

  • 查看答案
  • 微分方程ydx+(x-y)dy=0的通解是()。