[单选题]

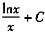
若f(x)的一个原函数是,则∫xf ′(x)dx=(  )。

A.

B.

C.

D.

参考答案与解析:

相关试题

若f(x)的一个原函数是<img border="0" style="width: 29px; height: 37px;" src="http

[单选题]若f(x)的一个原函数是,则∫xf ′(x)dx=(  )。A.B.C.D.

  • 查看答案
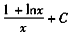
  • 若f(x)的一个原函数是<img border="0" style="width: 29px; height: 37px;" src="http

    [单选题]若f(x)的一个原函数是,则∫xf ′(x)dx=(  )。A.B.C.D.

  • 查看答案
  • 若f(x)的一个原函数是<img border="0" style="width: 29px; height: 37px;" src="http

    [单选题]若f(x)的一个原函数是,则∫xf ′(x)dx=(  )。A.B.C.D.

  • 查看答案
  • 若f(x)的一个原函数是<img border="0" style="width: 29px; height: 37px;" src="http

    [单选题]若f(x)的一个原函数是,则∫xf′(x)dx=(  )。A.B.C.D.

  • 查看答案
  • 若f(x)的一个原函数是<img border="0" style="width: 29px; height: 37px;" src="http

    [单选题]若f(x)的一个原函数是,则∫xf ′(x)dx=(  )。A.B.C.D.

  • 查看答案
  • 若f(x)的一个原函数是<img border="0" style="width: 29px; height: 37px;" src="http

    [单选题]若f(x)的一个原函数是,则∫xf ′(x)dx=(  )。A.B.C.D.

  • 查看答案
  • 若f(x)的一个原函数是<img border="0" style="width: 29px; height: 37px;" src="http

    [单选题]若f(x)的一个原函数是,则∫xf ′(x)dx=(  )。A.B.C.D.

  • 查看答案
  • 若f(x)的一个原函数是<img border="0" style="width: 29px; height: 37px;" src="http

    [单选题]若f(x)的一个原函数是,则∫xf ′(x)dx=(  )。A.B.C.D.

  • 查看答案
  • 若f(x)的一个原函数是<img border="0" style="width: 29px; height: 37px;" src="http

    [单选题]若f(x)的一个原函数是,则∫xf ′(x)dx=(  )。A.B.C.D.

  • 查看答案
  • 若f(x)的一个原函数是<img border="0" style="width: 29px; height: 37px;" src="http

    [单选题]若f(x)的一个原函数是,则∫xf′(x)dx=(  )。A.B.C.D.

  • 查看答案
  • 若f(x)的一个原函数是<img border="0" style="width: 29px; height: 37px;" src="http