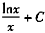
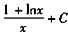
,则∫xf ′(x)dx=( )。A.
B.
C.
D.
[单选题]若f(x)的一个原函数是,则∫xf ′(x)dx=( )。A.B.C.D.
[单选题]若f(x)的一个原函数是,则∫xf ′(x)dx=( )。A.B.C.D.
[单选题]若f(x)的一个原函数是,则∫xf ′(x)dx=( )。A.B.C.D.
[单选题]若f(x)的一个原函数是,则∫xf′(x)dx=( )。A.B.C.D.
[单选题]若f(x)的一个原函数是,则∫xf ′(x)dx=( )。A.B.C.D.
[单选题]若f(x)的一个原函数是,则∫xf ′(x)dx=( )。A.B.C.D.
[单选题]若f(x)的一个原函数是,则∫xf ′(x)dx=( )。A.B.C.D.
[单选题]若f(x)的一个原函数是,则∫xf ′(x)dx=( )。A.B.C.D.
[单选题]若f(x)的一个原函数是,则∫xf ′(x)dx=( )。A.B.C.D.
[单选题]若f(x)的一个原函数是,则∫xf′(x)dx=( )。A.B.C.D.