[单选题]

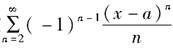
若级数在x>0时发散,在x=0时收敛,则常数a=(  )。

A.1

B.-1

C.2

D.-2

参考答案与解析:

相关试题

若级数<img border="0" style="width: 173px; height: 48px;" src="https://img.

[单选题]若级数在x>0时发散,在x=0时收敛,则常数a=(  )。A.1B.-1C.2D.-2

  • 查看答案
  • 若级数<img border="0" style="width: 173px; height: 48px;" src="https://img.

    [单选题]若级数在x>0时发散,在x=0时收敛,则常数a=(  )。A.1B.-1C.2D.-2

  • 查看答案
  • 若级数<img border="0" style="width: 173px; height: 48px;" src="https://img.

    [单选题]若级数在x>0时发散,在x=0时收敛,则常数a=(  )。A.1B.-1C.2D.-2

  • 查看答案
  • 若级数<img border="0" style="width: 173px; height: 48px;" src="https://img.

    [单选题]若级数在x>0时发散,在x=0时收敛,则常数a=(  )。A.1B.-1C.2D.-2

  • 查看答案
  • 若级数<img border="0" style="width: 173px; height: 48px;" src="https://img.

    [单选题]若级数在x>0时发散,在x=0时收敛,则常数a=(  )。A.1B.-1C.2D.-2

  • 查看答案
  • 若级数<img border="0" style="width: 173px; height: 48px;" src="https://img.

    [单选题]若级数在x>0时发散,在x=0时收敛,则常数a=(  )。A.1B.-1C.2D.-2

  • 查看答案
  • 若级数<img border="0" style="width: 173px; height: 48px;" src="https://img.

    [单选题]若级数在x>0时发散,在x=0时收敛,则常数a=(  )。A.1B.-1C.2D.-2

  • 查看答案
  • 若级数<img border="0" style="width: 173px; height: 48px;" src="https://img.

    [单选题]若级数在x>0时发散,在x=0时收敛,则常数a=(  )。A.1B.-1C.2D.-2

  • 查看答案
  • 若级数<img border="0" style="width: 173px; height: 48px;" src="https://img.

    [单选题]若级数在x>0时发散,在x=0时收敛,则常数a=(  )。A.1B.-1C.2D.-2

  • 查看答案
  • 若级数<img border="0" style="width: 173px; height: 53px;" src="https://img.

    [单选题]若级数收敛,则=(  ).A.1B.2C.-1D.-2

  • 查看答案
  • 若级数<img border="0" style="width: 173px; height: 48px;" src="https://img.