在x>0时发散,在x=0时收敛,则常数a=( )。A.1
B.-1
C.2
D.-2
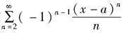
[单选题]若级数在x>0时发散,在x=0时收敛,则常数a=( )。A.1B.-1C.2D.-2
[单选题]若级数在x>0时发散,在x=0时收敛,则常数a=( )。A.1B.-1C.2D.-2
[单选题]若级数在x>0时发散,在x=0时收敛,则常数a=( )。A.1B.-1C.2D.-2
[单选题]若级数在x>0时发散,在x=0时收敛,则常数a=( )。A.1B.-1C.2D.-2
[单选题]若级数在x>0时发散,在x=0时收敛,则常数a=( )。A.1B.-1C.2D.-2
[单选题]若级数在x>0时发散,在x=0时收敛,则常数a=( )。A.1B.-1C.2D.-2
[单选题]若级数在x>0时发散,在x=0时收敛,则常数a=( )。A.1B.-1C.2D.-2
[单选题]若级数在x>0时发散,在x=0时收敛,则常数a=( )。A.1B.-1C.2D.-2
[单选题]若级数在x>0时发散,在x=0时收敛,则常数a=( )。A.1B.-1C.2D.-2
[单选题]若级数收敛,则=( ).A.1B.2C.-1D.-2