[单选题]

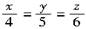
过点(-1,2,3)垂直于直线且平行于平面7x+8y+9z+10=0的直线是(  )。

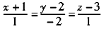
A.

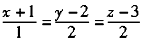
B.

C.

D.

参考答案与解析:

相关试题

过点(-1,2,3)垂直于直线<img border="0" style="width: 86px; height: 29px;" src="h

[单选题]过点(-1,2,3)垂直于直线且平行于平面7x+8y+9z+10=0的直线是(  )。A.B.C.D.

  • 查看答案
  • 过点(-1,2,3)垂直于直线<img border="0" style="width: 86px; height: 29px;" src="h

    [单选题]过点(-1,2,3)垂直于直线且平行于平面7x+8y+9z+10=0的直线是(  )。A.B.C.D.

  • 查看答案
  • 过点(-1,2,3)垂直于直线<img border="0" style="width: 86px; height: 29px;" src="h

    [单选题]过点(-1,2,3)垂直于直线且平行于平面7x+8y+9z+10=0的直线是(  )。A.B.C.D.

  • 查看答案
  • 过点(-1,2,3)垂直于直线<img border="0" style="width: 86px; height: 29px;" src="h

    [单选题]过点(-1,2,3)垂直于直线且平行于平面7x+8y+9z+10=0的直线是(  )。A.B.C.D.

  • 查看答案
  • 过点(-1,2,3)垂直于直线<img border="0" style="width: 86px; height: 29px;" src="h

    [单选题]过点(-1,2,3)垂直于直线且平行于平面7x+8y+9z+10=0的直线是(  )。A.B.C.D.

  • 查看答案
  • 过点(-1,2,3)垂直于直线<img border="0" style="width: 86px; height: 29px;" src="h

    [单选题]过点(-1,2,3)垂直于直线且平行于平面7x+8y+9z+10=0的直线是(  )。A.B.C.D.

  • 查看答案
  • 过点(-1,2,3)垂直于直线<img border="0" style="width: 86px; height: 29px;" src="h

    [单选题]过点(-1,2,3)垂直于直线且平行于平面7x+8y+9z+10=0的直线是(  )。A.B.C.D.

  • 查看答案
  • 过点(-1,2,3)垂直于直线<img border="0" style="width: 86px; height: 29px;" src="h

    [单选题]过点(-1,2,3)垂直于直线且平行于平面7x+8y+9z+10=0的直线是(  )。A.B.C.D.

  • 查看答案
  • 过点(-1,2,3)垂直于直线<img border="0" style="width: 86px; height: 29px;" src="h

    [单选题]过点(-1,2,3)垂直于直线且平行于平面7x+8y+9z+10=0的直线是(  )。A.B.C.D.

  • 查看答案
  • 过点(-1,2,3)垂直于直线<img border="0" style="width: 86px; height: 29px;" src="h

    [单选题]过点(-1,2,3)垂直于直线且平行于平面7x+8y+9z+10=0的直线是(  )。A.B.C.D.

  • 查看答案
  • 过点(-1,2,3)垂直于直线<img border="0" style="width: 86px; height: 29px;" src="h