且平行于平面7x+8y+9z+10=0的直线是( )。A.
B.
C.
D.
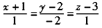
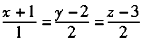
[单选题]过点(-1,2,3)垂直于直线且平行于平面7x+8y+9z+10=0的直线是( )。A.B.C.D.
[单选题]过点(-1,2,3)垂直于直线且平行于平面7x+8y+9z+10=0的直线是( )。A.B.C.D.
[单选题]过点(-1,2,3)垂直于直线且平行于平面7x+8y+9z+10=0的直线是( )。A.B.C.D.
[单选题]过点(-1,2,3)垂直于直线且平行于平面7x+8y+9z+10=0的直线是( )。A.B.C.D.
[单选题]过点(-1,2,3)垂直于直线且平行于平面7x+8y+9z+10=0的直线是( )。A.B.C.D.
[单选题]过点(-1,2,3)垂直于直线且平行于平面7x+8y+9z+10=0的直线是( )。A.B.C.D.
[单选题]过点(-1,2,3)垂直于直线且平行于平面7x+8y+9z+10=0的直线是( )。A.B.C.D.
[单选题]过点(-1,2,3)垂直于直线且平行于平面7x+8y+9z+10=0的直线是( )。A.B.C.D.
[单选题]过点(-1,2,3)垂直于直线且平行于平面7x+8y+9z+10=0的直线是( )。A.B.C.D.
[单选题]过点(-1,2,3)垂直于直线且平行于平面7x+8y+9z+10=0的直线是( )。A.B.C.D.