=( )。[2011年真题]A.
B.2
C.
D.
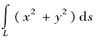
[单选题]设L为连接(0,2)和(1,0)的直线段,则对弧长的曲线积分=( )。[2011年真题]A.B.2C.D.
[单选题]设L为连接(0,2)和(1,0)的直线段,则对弧长的曲线积分=( )。[2011年真题]A.B.2C.D.
[单选题]设L为连接(0,2)和(1,0)的直线段,则对弧长的曲线积分=( )。[2011年真题]A.B.2C.D.
[单选题]设L为连接(0,2)和(1,0)的直线段,则对弧长的曲线积分=( )。[2011年真题]A.B.2C.D.
[单选题]设L为连接(0,2)和(1,0)的直线段,则对弧长的曲线积分=( )。[2011年真题]A.B.2C.D.
[单选题]设L为连接(0,2)和(1,0)的直线段,则对弧长的曲线积分=( )。[2011年真题]A.B.2C.D.
[单选题]设L为连接(0,2)和(1,0)的直线段,则对弧长的曲线积分=( )。[2011年真题]A.B.2C.D.
[单选题]设L为连接(0,2)和(1,0)的直线段,则对弧长的曲线积分=( )。[2011年真题]A.B.2C.D.
[单选题]设L为连接(0,2)和(1,0)的直线段,则对弧长的曲线积分=( )。[2011年真题]A.B.2C.D.
[单选题]设L为连接(0,2)和(1,0)的直线段,则对弧长的曲线积分=( )。[2011年真题]A.B.2C.D.