[单选题]

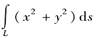
设L为连接(0,2)和(1,0)的直线段,则对弧长的曲线积分=(  )。[2011年真题]

A.

B.2

C.

D.

参考答案与解析:

相关试题

设L为连接(0,2)和(1,0)的直线段,则对弧长的曲线积分<img border="0" style="width: 96px; height: 38px;&qu

[单选题]设L为连接(0,2)和(1,0)的直线段,则对弧长的曲线积分=(  )。[2011年真题]A.B.2C.D.

  • 查看答案
  • 设L为连接(0,2)和(1,0)的直线段,则对弧长的曲线积分<img border="0" style="width: 96px; height: 38px;&qu

    [单选题]设L为连接(0,2)和(1,0)的直线段,则对弧长的曲线积分=(  )。[2011年真题]A.B.2C.D.

  • 查看答案
  • 设L为连接(0,2)和(1,0)的直线段,则对弧长的曲线积分<img border="0" style="width: 96px; height: 38px;&qu

    [单选题]设L为连接(0,2)和(1,0)的直线段,则对弧长的曲线积分=(  )。[2011年真题]A.B.2C.D.

  • 查看答案
  • 设L为连接(0,2)和(1,0)的直线段,则对弧长的曲线积分<img border="0" style="width: 96px; height: 38px;&qu

    [单选题]设L为连接(0,2)和(1,0)的直线段,则对弧长的曲线积分=(  )。[2011年真题]A.B.2C.D.

  • 查看答案
  • 设L为连接(0,2)和(1,0)的直线段,则对弧长的曲线积分<img border="0" style="width: 96px; height: 38px;&qu

    [单选题]设L为连接(0,2)和(1,0)的直线段,则对弧长的曲线积分=(  )。[2011年真题]A.B.2C.D.

  • 查看答案
  • 设L为连接(0,2)和(1,0)的直线段,则对弧长的曲线积分<img border="0" style="width: 96px; height: 38px;&qu

    [单选题]设L为连接(0,2)和(1,0)的直线段,则对弧长的曲线积分=(  )。[2011年真题]A.B.2C.D.

  • 查看答案
  • 设L为连接(0,2)和(1,0)的直线段,则对弧长的曲线积分<img border="0" style="width: 96px; height: 38px;&qu

    [单选题]设L为连接(0,2)和(1,0)的直线段,则对弧长的曲线积分=(  )。[2011年真题]A.B.2C.D.

  • 查看答案
  • 设L为连接(0,2)和(1,0)的直线段,则对弧长的曲线积分<img border="0" style="width: 96px; height: 38px;&qu

    [单选题]设L为连接(0,2)和(1,0)的直线段,则对弧长的曲线积分=(  )。[2011年真题]A.B.2C.D.

  • 查看答案
  • 设L为连接(0,2)和(1,0)的直线段,则对弧长的曲线积分<img border="0" style="width: 96px; height: 38px;&qu

    [单选题]设L为连接(0,2)和(1,0)的直线段,则对弧长的曲线积分=(  )。[2011年真题]A.B.2C.D.

  • 查看答案
  • 设L为连接(0,2)和(1,0)的直线段,则对弧长的曲线积分<img border="0" style="width: 96px; height: 38px;&qu

    [单选题]设L为连接(0,2)和(1,0)的直线段,则对弧长的曲线积分=(  )。[2011年真题]A.B.2C.D.

  • 查看答案
  • 设L为连接(0,2)和(1,0)的直线段,则对弧长的曲线积分<img border="0" style="width: 96px; height: 38px;&qu