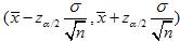
A.
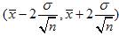
B.
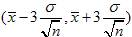
C.
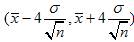
D.
[单选题]小样本情况下,总体服从正态分布,总体方差已知,总体均值在置信水平(1-α)下的置信区间为( )。A.B.C.D.
[单选题]小样本情况下,总体服从正态分布,总体方差未知,总体均值在置信水平(1-α)下的置信区间为( )。A.B.C.D.
[单选题]小样本情况下,总体服从正态分布,总体方差未知,总体均值在置信水平(1-α)下的置信区间为( )。A.B.C.D.
[单选题]小样本情况下,总体服从正态分布,总体方差已知,总体均值在置信水平(1-a)下的置信区间为()。A.B.C.D.
[单选题]小样本情况下,总体服从正态分布,总体方差已知,总体均值在置信水平(1-a)下的置信区间为()。A.B.C.D.
[单选题]小样本情况下,总体服从正态分布,总体方差已知,总体均值在置信水平(1-a)下的置信区间为()。A.B.C.D.
[单选题]小样本情况下,总体服从正态分布,总体方差已知,总体均值在置信水平(1-a)下的置信区间为()。A.B.C.D.
[单选题]小样本情况下,总体服从正态分布,总体方差已知,总体均值在置信水平(1-a)下的置信区间为()。A.B.C.D.
[单选题]小样本情况下,总体服从正态分布,总体方差已知,总体均值在置信水平(l-α)下的置信区间为()A.B.C.D.
[单选题]小样本情况下,总体服从正态分布,总体方差未知,总体均值在置信水平(1-a)下的置信区间为()。A.B.C.D.