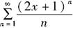
[单选题]

级数的收敛域是(  )。[2014年真题]

A.(-1,1)

B.[-1,1]

C.[-1,0)

D.(-1,0)

参考答案与解析:

相关试题

级数<img border="0" style="width: 105px; height: 46px;" src="https://img.z

[单选题]级数的收敛域是(  )。[2014年真题]A.(-1,1)B.[-1,1]C.[-1,0)D.(-1,0)

  • 查看答案
  • 级数<img border="0" style="width: 105px; height: 46px;" src="https://img.z

    [单选题]级数的收敛域是(  )。[2014年真题]A.(-1,1)B.[-1,1]C.[-1,0)D.(-1,0)

  • 查看答案
  • 级数<img border="0" style="width: 105px; height: 46px;" src="https://img.z

    [单选题]级数的收敛域是(  )。[2014年真题]A.(-1,1)B.[-1,1]C.[-1,0)D.(-1,0)

  • 查看答案
  • 级数<img border="0" style="width: 105px; height: 46px;" src="https://img.z

    [单选题]级数的收敛域是(  )。[2014年真题]A.(-1,1)B.[-1,1]C.[-1,0)D.(-1,0)

  • 查看答案
  • 级数<img border="0" style="width: 105px; height: 46px;" src="https://img.z

    [单选题]级数的收敛域是(  )。[2014年真题]A.(-1,1)B.[-1,1]C.[-1,0)D.(-1,0)

  • 查看答案
  • 级数<img border="0" style="width: 105px; height: 46px;" src="https://img.z

    [单选题]级数的收敛域是(  )。[2014年真题]A.(-1,1)B.[-1,1]C.[-1,0)D.(-1,0)

  • 查看答案
  • 级数<img border="0" style="width: 105px; height: 46px;" src="https://img.z

    [单选题]级数的收敛域是(  )。[2014年真题]A.(-1,1)B.[-1,1]C.[-1,0)D.(-1,0)

  • 查看答案
  • 级数<img border="0" style="width: 105px; height: 46px;" src="https://img.z

    [单选题]级数的收敛域是(  )。[2014年真题]A.(-1,1)B.[-1,1]C.[-1,0)D.(-1,0)

  • 查看答案
  • 级数<img border="0" style="width: 105px; height: 46px;" src="https://img.z

    [单选题]级数的收敛域是(  )。[2014年真题]A.(-1,1)B.[-1,1]C.[-1,0)D.(-1,0)

  • 查看答案
  • 矩阵<img border="0" style="width: 105px; height: 70px;" src="https://img.z

    [单选题]矩阵的逆矩阵是(  )。A.B.C.D.

  • 查看答案
  • 级数<img border="0" style="width: 105px; height: 46px;" src="https://img.z