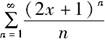
的收敛域是( )。[2014年真题]A.(-1,1)
B.[-1,1]
C.[-1,0)
D.(-1,0)
[单选题]级数的收敛域是( )。[2014年真题]A.(-1,1)B.[-1,1]C.[-1,0)D.(-1,0)
[单选题]级数的收敛域是( )。[2014年真题]A.(-1,1)B.[-1,1]C.[-1,0)D.(-1,0)
[单选题]级数的收敛域是( )。[2014年真题]A.(-1,1)B.[-1,1]C.[-1,0)D.(-1,0)
[单选题]级数的收敛域是( )。[2014年真题]A.(-1,1)B.[-1,1]C.[-1,0)D.(-1,0)
[单选题]级数的收敛域是( )。[2014年真题]A.(-1,1)B.[-1,1]C.[-1,0)D.(-1,0)
[单选题]级数的收敛域是( )。[2014年真题]A.(-1,1)B.[-1,1]C.[-1,0)D.(-1,0)
[单选题]级数的收敛域是( )。[2014年真题]A.(-1,1)B.[-1,1]C.[-1,0)D.(-1,0)
[单选题]级数的收敛域是( )。[2014年真题]A.(-1,1)B.[-1,1]C.[-1,0)D.(-1,0)
[单选题]级数的收敛域是( )。[2014年真题]A.(-1,1)B.[-1,1]C.[-1,0)D.(-1,0)
[单选题]函数在点(0,1)处的梯度等于( ).A.B.C.D.