[单选题]

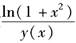
设y=y(x)是二阶常系数微分方程y″+py′+qy=e3x满足初始条件y(0)=y′(0)=0的特解,则当x→0时,函数的极限(  )。

A.不存在

B.等于1

C.等于2

D.等于3

参考答案与解析:

相关试题

设y=y(x)是二阶常系数微分方程y″+py′+qy=e3x满足初始条件y(0)=y′(0)=0的特解,则当x→0时,函数<img border="0" style=&quo

[单选题]设y=y(x)是二阶常系数微分方程y″+py′+qy=e3x满足初始条件y(0)=y′(0)=0的特解,则当x→0时,函数的极限(  )。A.不存在B

  • 查看答案
  • 设y=y(x)是二阶常系数微分方程y″+py′+qy=e3x满足初始条件y(0)=y′(0)=0的特解,则当x→0时,函数<img border="0" style=&quo

    [单选题]设y=y(x)是二阶常系数微分方程y″+py′+qy=e3x满足初始条件y(0)=y′(0)=0的特解,则当x→0时,函数的极限(  )。A.不存在B

  • 查看答案
  • 设y=y(x)是二阶常系数微分方程y″+py′+qy=e3x满足初始条件y(0)=y′(0)=0的特解,则当x→0时,函数<img border="0" style=&quo

    [单选题]设y=y(x)是二阶常系数微分方程y″+py′+qy=e3x满足初始条件y(0)=y′(0)=0的特解,则当x→0时,函数的极限(  )。A.不存在B

  • 查看答案
  • 设y=y(x)是二阶常系数微分方程y″+py′+qy=e3x满足初始条件y(0)=y′(0)=0的特解,则当x→0时,函数<img border="0" style=&quo

    [单选题]设y=y(x)是二阶常系数微分方程y″+py′+qy=e3x满足初始条件y(0)=y′(0)=0的特解,则当x→0时,函数的极限(  )。A.不存在B

  • 查看答案
  • 设y=y(x)是二阶常系数微分方程y″+py′+qy=e3x满足初始条件y(0)=y′(0)=0的特解,则当x→0时,函数<img border="0" style=&quo

    [单选题]设y=y(x)是二阶常系数微分方程y″+py′+qy=e3x满足初始条件y(0)=y′(0)=0的特解,则当x→0时,函数的极限(  )。A.不存在B

  • 查看答案
  • 设y=y(x)是二阶常系数微分方程y″+py′+qy=e3x满足初始条件y(0)=y′(0)=0的特解,则当x→0时,函数<img border="0" style=&quo

    [单选题]设y=y(x)是二阶常系数微分方程y″+py′+qy=e3x满足初始条件y(0)=y′(0)=0的特解,则当x→0时,函数的极限(  )。A.不存在B

  • 查看答案
  • 设y=y(x)是二阶常系数微分方程y″+py′+qy=e3x满足初始条件y(0)=y′(0)=0的特解,则当x→0时,函数<img border="0" style=&quo

    [单选题]设y=y(x)是二阶常系数微分方程y″+py′+qy=e3x满足初始条件y(0)=y′(0)=0的特解,则当x→0时,函数的极限(  )。A.不存在B

  • 查看答案
  • 设y=y(x)是二阶常系数微分方程y″+py′+qy=e3x满足初始条件y(0)=y′(0)=0的特解,则当x→0时,函数<img border="0" style=&quo

    [单选题]设y=y(x)是二阶常系数微分方程y″+py′+qy=e3x满足初始条件y(0)=y′(0)=0的特解,则当x→0时,函数的极限(  )。A.不存在B

  • 查看答案
  • 设y=y(x)是二阶常系数微分方程y″+py′+qy=e3x满足初始条件y(0)=y′(0)=0的特解,则当x→0时,函数<img border="0" style=&quo

    [单选题]设y=y(x)是二阶常系数微分方程y″+py′+qy=e3x满足初始条件y(0)=y′(0)=0的特解,则当x→0时,函数的极限(  )。A.不存在B

  • 查看答案
  • 设y=y(x)是二阶常系数微分方程y″+py′+qy=e3x满足初始条件y(0)=y′(0)=0的特解,则当x→0时,函数<img border="0" style=&quo

    [单选题]设y=y(x)是二阶常系数微分方程y″+py′+qy=e3x满足初始条件y(0)=y′(0)=0的特解,则当x→0时,函数的极限(  )。A.不存在B

  • 查看答案
  • 设y=y(x)是二阶常系数微分方程y″+py′+qy=e3x满足初始条件y(0)=y′(0)=0的特解,则当x→0时,函数<img border="0" style=&quo