
A.f(0)是f(x)的极大值
B.f(0)是f(x)的极小值
C.f(0)不是f(x)的极值
D.不能判定f(0)是否为极值
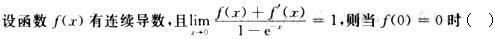
[单选题]A.f(0)是f(x)的极大值B.f(0)是f(x)的极小值C.f(0)不是f(x)的极值D.不能判定f(0)是否为极值
[单选题]A.f(0)是f(x)的极大值B.f(0)是f(x)的极小值C.f(0)不是f(x)的极值D.不能判定f(0)是否为极值
[单选题]A.f(0)是f(x)的极大值B.f(0)是f(x)的极小值C.f(0)不是f(x)的极值D.不能判定f(0)是否为极值
[单选题]A.f(0)是f(x)的极大值B.f(0)是f(x)的极小值C.f(0)不是f(x)的极值D.不能判定f(0)是否为极值
[单选题]A.由前向后B.由后向前C.垂直向D.旋转E.侧向
[单选题]( ).A.B.C.D.
[单选题]( ).A.B.C.D.