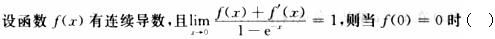
[单选题]

A.f(0)是f(x)的极大值

B.f(0)是f(x)的极小值

C.f(0)不是f(x)的极值

D.不能判定f(0)是否为极值

参考答案与解析:

相关试题

<img border="0" style="width: 495px; height: 39px;" src="https://img.zha

[单选题]A.f(0)是f(x)的极大值B.f(0)是f(x)的极小值C.f(0)不是f(x)的极值D.不能判定f(0)是否为极值

  • 查看答案
  • <img border="0" style="width: 495px; height: 39px;" src="https://img.zha

    [单选题]A.f(0)是f(x)的极大值B.f(0)是f(x)的极小值C.f(0)不是f(x)的极值D.不能判定f(0)是否为极值

  • 查看答案
  • <img border="0" style="width: 495px; height: 39px;" src="https://img.zha

    [单选题]A.f(0)是f(x)的极大值B.f(0)是f(x)的极小值C.f(0)不是f(x)的极值D.不能判定f(0)是否为极值

  • 查看答案
  • <img border="0" style="width: 495px; height: 39px;" src="https://img.zha

    [单选题]A.f(0)是f(x)的极大值B.f(0)是f(x)的极小值C.f(0)不是f(x)的极值D.不能判定f(0)是否为极值

  • 查看答案
  • <img border="0" style="width: 495px; height: 33px;" src="https://img.zha

    [单选题]A.由前向后B.由后向前C.垂直向D.旋转E.侧向

  • 查看答案
  • <img border="0" style="width: 495px; height: 66px;" src="https://img.zha

    [问答题]

  • 查看答案
  • <img border="0" style="width: 495px; height: 91px;" src="https://img.zha

    [问答题]---------.

  • 查看答案
  • <img border="0" style="width: 495px; height: 19px;" src="https://img.zha

    [问答题]_________。

  • 查看答案
  • <img border="0" style="width: 495px; height: 15px;" src="https://img.zha

    [单选题](  ).A.B.C.D.

  • 查看答案
  • <img border="0" style="width: 495px; height: 15px;" src="https://img.zha

    [单选题](  ).A.B.C.D.

  • 查看答案
  • <img border="0" style="width: 495px; height: 39px;" src="https://img.zha