
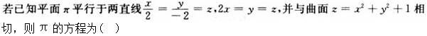
A.16x+8y-16z=0
B.2x+3y-4z+5=0
C.16x+8y-16z+11=0
D.8x-3y+4z+7=0
[单选题]A.随流量增大而减小B.随流量增大而增大C.随流量增大而基本不变D.随真空表读数的增大而减小
[单选题]A.随流量增大而减小B.随流量增大而增大C.随流量增大而基本不变D.随真空表读数的增大而减小
[单选题]A.16x+8y-16z=0B.2x+3y-4z+5=0C.16x+8y-16z+11=0D.8x-3y+4z+7=0
[单选题]A.16x+8y-16z=0B.2x+3y-4z+5=0C.16x+8y-16z+11=0D.8x-3y+4z+7=0
[单选题]A.观察B.脱敏C.去除旧充填体,复合树脂重新充填D.去除旧充填体,氧化锌丁香油糊剂安抚E.牙髓治疗
[单选题]A.2010B.2011C.2012D.2013E.2014
[单选题]A.5B.4C.3D.2E.1