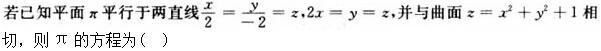
[单选题]

A.16x+8y-16z=0

B.2x+3y-4z+5=0

C.16x+8y-16z+11=0

D.8x-3y+4z+7=0

参考答案与解析:

相关试题

<img border="0" style="width: 601px; height: 51px;" src="https://img.zha

[单选题]A.随流量增大而减小B.随流量增大而增大C.随流量增大而基本不变D.随真空表读数的增大而减小

  • 查看答案
  • <img border="0" style="width: 601px; height: 51px;" src="https://img.zha

    [单选题]A.随流量增大而减小B.随流量增大而增大C.随流量增大而基本不变D.随真空表读数的增大而减小

  • 查看答案
  • <img border="0" style="width: 601px; height: 51px;" src="https://img.zha

    [单选题]A.16x+8y-16z=0B.2x+3y-4z+5=0C.16x+8y-16z+11=0D.8x-3y+4z+7=0

  • 查看答案
  • <img border="0" style="width: 601px; height: 51px;" src="https://img.zha

    [单选题]A.16x+8y-16z=0B.2x+3y-4z+5=0C.16x+8y-16z+11=0D.8x-3y+4z+7=0

  • 查看答案
  • <img border="0" style="width: 601px; height: 51px;" src="https://img.zha

    [单选题]A.B.C.D.不确定

  • 查看答案
  • <img border="0" style="width: 601px; height: 51px;" src="https://img.zha

    [单选题]A.B.C.D.不确定

  • 查看答案
  • <img border="0" style="width: 601px; height: 48px;" src="https://img.zha

    [单选题]A.观察B.脱敏C.去除旧充填体,复合树脂重新充填D.去除旧充填体,氧化锌丁香油糊剂安抚E.牙髓治疗

  • 查看答案
  • <img border="0" style="width: 601px; height: 29px;" src="https://img.zha

    [单选题]A.2010B.2011C.2012D.2013E.2014

  • 查看答案
  • <img border="0" style="width: 601px; height: 50px;" src="https://img.zha

    [单选题]A.B.C.D.E.

  • 查看答案
  • <img border="0" style="width: 601px; height: 39px;" src="https://img.zha

    [单选题]A.5B.4C.3D.2E.1

  • 查看答案
  • <img border="0" style="width: 601px; height: 51px;" src="https://img.zha