当前位置: 找题吧 >  研究生 考研公共课数学一
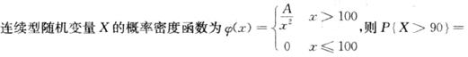
[问答题]

-------------.

参考答案与解析:

相关试题

<img border="0" style="width: 521px; height: 64px;" src="https://img.zha

[问答题]----------.

  • 查看答案
  • <img border="0" style="width: 521px; height: 49px;" src="https://img.zha

    [单选题]A.2500N/mB.4500N/mC.180N/mD.150N/m

  • 查看答案
  • <img border="0" style="width: 521px; height: 72px;" src="https://img.zha

    [单选题]A.B.C.D.

  • 查看答案
  • <img border="0" style="width: 521px; height: 31px;" src="https://img.zha

    [单选题]A.B.C.D.

  • 查看答案
  • <img border="0" style="width: 521px; height: 52px;" src="https://img.zha

    [单选题]A.-1<t<1B.-1<t<0C.t>0D.t<-1

  • 查看答案
  • <img border="0" style="width: 521px; height: 27px;" src="https://img.zha

    [单选题]A.B.C.D.

  • 查看答案
  • <img border="0" style="width: 521px; height: 72px;" src="https://img.zha

    [单选题]A.B.C.D.

  • 查看答案
  • <img border="0" style="width: 521px; height: 31px;" src="https://img.zha

    [单选题]A.B.C.D.

  • 查看答案
  • <img border="0" style="width: 521px; height: 27px;" src="https://img.zha

    [单选题]A.B.C.D.

  • 查看答案
  • <img border="0" style="width: 521px; height: 52px;" src="https://img.zha

    [单选题]A.-1<t<1B.-1<t<0C.t>0D.t<-1

  • 查看答案
  • <img border="0" style="width: 521px; height: 64px;" src="https://img.zha