
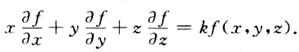
[问答题]若函数f(x,y,z)恒满足关系式f(tx,ty,tz)=tkf(x,y,z)就称为k次齐次函数,验证k次齐次函数满足关系式(其中f存在一阶连续偏导数
[问答题]若函数f(x,y,z)恒满足关系式f(tx,ty,tz)=tkf(x,y,z)就称为k次齐次函数,验证k次齐次函数满足关系式(其中f存在一阶连续偏导数
[问答题]设y=y(x),z=z(z)是由方程z=xf(x+y)和F(x,y,z)=0所确定的函数,其中f和F分别具有一阶连续导数和一阶连续偏导数,求
[问答题]设y=y(x),z=z(z)是由方程z=xf(x+y)和F(x,y,z)=0所确定的函数,其中f和F分别具有一阶连续导数和一阶连续偏导数,求
[问答题]设y=y(x),z=z(z)是由方程z=xf(x+y)和F(x,y,z)=0所确定的函数,其中f和F分别具有一阶连续导数和一阶连续偏导数,求
[单选题]若连续函数f(x)满足关系式,则f(x)等于().A . B . C . D .
[问答题]设u=f(x,y),v=F(x,y),其中f和F都是x和y的有一阶连续偏导数的函数.由此二式也确定了x和y都是u、v的有一阶连续偏导数的函数.证明:
[问答题]设u=f(x,y),v=F(x,y),其中f和F都是x和y的有一阶连续偏导数的函数.由此二式也确定了x和y都是u、v的有一阶连续偏导数的函数.证明:
[问答题]设u=f(x,y),v=F(x,y),其中f和F都是x和y的有一阶连续偏导数的函数.由此二式也确定了x和y都是u、v的有一阶连续偏导数的函数.证明:
[问答题]设u=f(x,y,z),φ(x2,ey,z)=0,y=sinx,其中f,φ都具有一阶连续偏导数,且求