[单选题]2011年第一季度GDP总量和增速均居同一位的城市有()个。A.1B.2C.3D.4E.5
[单选题]2010年与2009年相比.毕业生增长率最大的学科是()。A.教育学B.经济学C.管理学D.医学E.法学
[问答题]----------------------.
[问答题]
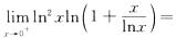
[单选题]( ).A.B.C.D.
[问答题]----------------.