A.
B.
C.
D.
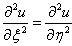
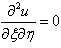
[单选题]设函数u(x,y)二阶连续可微,并且满足,令ξ=x-y,η=x+y,则必有( ).A.B.C.D.
[单选题]设函数u(x,y)二阶连续可微,并且满足,令ξ=x-y,η=x+y,则必有( ).A.B.C.D.
[问答题]设函数f(x,y)有二阶连续偏导,满足,并且存在一元函数h,使,求f(x,y).
[问答题]设函数f(x,y)有二阶连续偏导,满足,并且存在一元函数h,使,求f(x,y).
[问答题]设函数f(x,y)有二阶连续偏导,满足,并且存在一元函数h,使,求f(x,y).
[问答题]设函数u=f(x,y)具有二阶连续偏导数,且满足等式,确定a,b的值,使等式在变换
[问答题]设函数f(u)在(0,+∞)内二阶可导且满足等式.(1)验证;(2)若f(1)=0,f′(1)=1,求函数f(u)的表达式。
[问答题]设函数f(u)在(0,+∞)内二阶可导且满足等式.(1)验证;(2)若f(1)=0,f′(1)=1,求函数f(u)的表达式。
[问答题]设函数f(u)在(0,+∞)内二阶可导且满足等式.(1)验证;(2)若f(1)=0,f′(1)=1,求函数f(u)的表达式。
[单选题]设二阶可导函数满足,且,则( ).A.B.C.D.