当前位置:
找题吧
>
研究生
考研公共课数学二
[单选题]
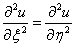
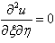
设函数u(x,y)二阶连续可微,并且满足
,令ξ=x-y,η=x+y,则必有( ).
A.
B.
C.
D.
参考答案与解析:
相关试题