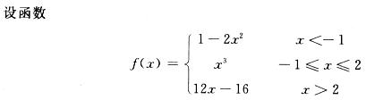
[问答题]


参考答案与解析:

相关试题

<img border="0" style="width: 409px; height: 112px;" src="https://img.zh