( ).A.
B.
C.
D.
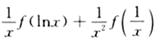
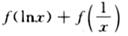
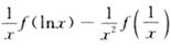
[单选题]( ).A.B.C.D.
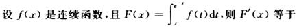
[单选题]( ).A.B.C.D.
[单选题]A.条件(1)充分,但条件(2)不充分B.条件(2)充分,但条件(1)不充分C.条件(1)和条件(2)单独都不充分,但条件(1)和条件(2)联合起来充
[单选题]A.条件(1)充分,但条件(2)不充分B.条件(2)充分,但条件(1)不充分C.条件(1)和(2)单独都不充分,但条件(1)和条件(2)联合起来充分D
[单选题]A.-8B.8C.±8D.0E.不能确定
[单选题]A.条件(1)充分,但条件(2)不充分。B.条件(2)充分,但条件(1)不充分。C.条件(1)和条件(2)单独都不充分,但条件(1)和条件(2)联合起