
A.
B.
C.
D.
[单选题]A.接近移动障碍物标线B.远离狭窄路面标线C.接近障碍物标线D.接近狭窄路面标线
[单选题]A.接近移动障碍物标线B.远离狭窄路面标线C.接近障碍物标线D.接近狭窄路面标线
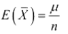
[单选题]河北、安徽、四川、新疆四个省(区)中,2012年夏粮每公顷产量高于全国平均水平的省份有几个?A.1B.2C.3D.4
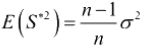
[单选题]2002年全国夏粮产量约为:A.4107万吨B.9875万吨C.12768万吨D.17102万吨
[单选题]2012年11个主产省(区)夏粮播种面积约占全国播种总面积的:A.52%B.67%C.71%D.85%
[单选题]河北、安徽、四川、新疆四个省(区)中,2012年夏粮每公顷产量高于全国平均水平的省份有几个?A.1B.2C.3D.4
[单选题]2002年全国夏粮产量约为:A.4107万吨B.9875万吨C.12768万吨D.17102万吨
[单选题]根据上述材料,下列说法错误的是:A.2012年,11个主产省(区)夏粮增产量超过了全国增产总量B.2011年安徽夏粮产量为1221.5万吨C.与上一年
[单选题]2012年11个主产省(区)夏粮播种面积约占全国播种总面积的:A.52%B.67%C.71%D.85%