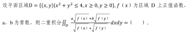
[单选题]

A.

B.

C.

D.

参考答案与解析:

相关试题

<img border="0" style="width: 756px; height: 137px;" src="https://img.zh

[单选题]A.B.C.D.

  • 查看答案
  • <img border="0" style="width: 756px; height: 108px;" src="https://img.ai

    [单选题]A.B.C.D.

  • 查看答案
  • <img border="0" style="width: 729px; height: 137px;" src="https://img.ai

    [单选题]A.B.C.D.

  • 查看答案
  • <img border="0" style="width: 310px; height: 137px;" src="https://img.ai

    [单选题]A.接近移动障碍物标线B.远离狭窄路面标线C.接近障碍物标线D.接近狭窄路面标线

  • 查看答案
  • <img border="0" style="width: 310px; height: 137px;" src="https://img.ai

    [单选题]A.接近移动障碍物标线B.远离狭窄路面标线C.接近障碍物标线D.接近狭窄路面标线

  • 查看答案
  • <img border="0" style="width: 756px; height: 108px;" src="https://img.zh

    [单选题]A.B.C.D.

  • 查看答案
  • <img border="0" style="width: 137px; height: 35px;" src="https://img.zha

    [问答题]-----------.

  • 查看答案
  • <img border="0" style="width: 137px; height: 35px;" src="https://img.zha

    [问答题]-------------.

  • 查看答案
  • <img border="0" style="width: 137px; height: 35px;" src="https://img.zha

    [问答题]------------.

  • 查看答案
  • <img border="0" style="width: 617px; height: 137px;" src="https://img.zh

    [单选题]A.当∠B为定值时,∠CDE为定值B.当∠α为定值时,∠CDE为定值C.当∠β为定值时,∠CDE为定值D.当∠γ为定值时,∠CDE为定值E.当∠ADC

  • 查看答案
  • <img border="0" style="width: 756px; height: 137px;" src="https://img.ai