当前位置: 找题吧 >  数学3 军队文职
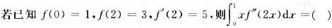
[单选题]

A.0

B.1

C.2

D.-2

参考答案与解析:

相关试题

<img border="0" style="width: 470px; height: 40px;" src="https://img.aic

[单选题]A.0B.1C.2D.-2

  • 查看答案
  • <img border="0" style="width: 470px; height: 40px;" src="https://img.aic

    [单选题]A.0B.1C.2D.-2

  • 查看答案
  • <img border="0" style="width: 470px; height: 40px;" src="https://img.aic

    [单选题]A.0B.1C.2D.-2

  • 查看答案
  • <img border="0" style="width: 470px; height: 40px;" src="https://img.zha

    [单选题]A.0B.1C.2D.-2

  • 查看答案
  • <img border="0" style="width: 470px; height: 40px;" src="https://img.zha

    [单选题]A.0B.1C.2D.-2

  • 查看答案
  • <img border="0" style="width: 470px; height: 40px;" src="https://img.zha

    [单选题]A.0B.1C.2D.-2

  • 查看答案
  • <img border="0" style="width: 470px; height: 29px;" src="https://img.aic

    [单选题]A.B.C.D.

  • 查看答案
  • <img border="0" style="width: 470px; height: 71px;" src="https://img.aic

    [单选题]A.B.C.D.

  • 查看答案
  • <img border="0" style="width: 470px; height: 29px;" src="https://img.aic

    [单选题]A.B.C.D.

  • 查看答案
  • <img border="0" style="width: 470px; height: 29px;" src="https://img.aic

    [单选题]A.B.C.D.

  • 查看答案
  • <img border="0" style="width: 470px; height: 40px;" src="https://img.aic