当前位置:
找题吧
>
数学2
军队文职
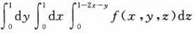
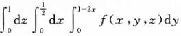
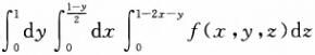
[单选题]
A.
B.
C.
D.
参考答案与解析:
相关试题
<img border="0" style="width: 667px; height: 48px;" src="https://img.aic
[单选题]A.B.C.D.
查看答案
<img border="0" style="width: 667px; height: 48px;" src="https://img.aic
[单选题]A.B.C.D.
查看答案
<img border="0" style="width: 667px; height: 48px;" src="https://img.aic
[单选题]A.B.C.D.
查看答案
<img border="0" style="width: 667px; height: 48px;" src="https://img.aic
[单选题]A.B.C.D.
查看答案
<img border="0" style="width: 667px; height: 48px;" src="https://img.aic
[单选题]A.B.C.D.
查看答案
<img border="0" style="width: 667px; height: 48px;" src="https://img.zha
[单选题]A.B.C.D.
查看答案
<img border="0" style="width: 667px; height: 48px;" src="https://img.zha
[单选题]A.B.C.D.
查看答案
<img border="0" style="width: 667px; height: 48px;" src="https://img.zha
[单选题]A.B.C.D.
查看答案
<img border="0" style="width: 667px; height: 48px;" src="https://img.zha
[单选题]A.B.C.D.
查看答案
<img border="0" style="width: 667px; height: 47px;" src="https://img.aic
[单选题]A.1/2B.2C.1/4D.1
查看答案