行×列表的x2检验应选用()。
A . ['
B . 
C . 
D . 
E . 
[单选题,B1型题] 行×列表的X2检验应选用()A . AB . BC . CD . DE . E
[单选题,A1型题] 行×列表X2检验应注意()A . 不宜有1/5以上的格子数的1≤T<5或一个格子的T<1B . 计算X2值时不能采用X2检验基本公式C . 只要有一个格子的1≤T<5,就不能直接用专用公式D . 分析等级资料时,应首先考虑行×列表X2检验而不是秩和检验E . 拒绝H0,即意味着多个总体率(或构成比)互有差别
[单选题]行×列表资料X2检验应注意()A.资料必须呈正态分布B.资料必须方差齐C.拒绝HO并不意味两两有差别D.总可以应用专用公式,与理论数T无关E.对于两组
[单选题]行x列表X2检验对理论值太小的处理方法最好选用A.删去理论频数太小的行或列B.增加样本含量以增大理论频数C.可把不同性质的实际值合并D.将太小理论值所在的行或列与性质相同的邻行或邻列中的实际值合并E.以上均不可选
[单选题]行×列表资料的X2检验用于()A . 两个样本率的比较B . 多个样本率的比较C . 多个均数间的比较D . 配对分类资料的比较E . 列联表行列是否存在联系的分析
[单选题]行×列表X2检验对理论值太小的处理方法最好选用( )。
[单选题]在3×3的行×列表X2检验中,X2-163.01,确定P值时,自由度等于()。A . 3B . 1C . 9D . 4E . 6
[单选题,A1型题] 在3×3的行×列表X2检验中,X2-163.01,确定P值时,自由度等于()A . 3B . 1C . 9D . 4E . 6
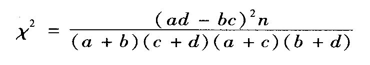
[单选题,A1型题] 成组设计四格表资料的X2检验,选用基本公式X2=的条件是()A . A≥5B . T≥5C . A≥5且T≥5D . n≥40且T≥5E . n≥40且A≥5
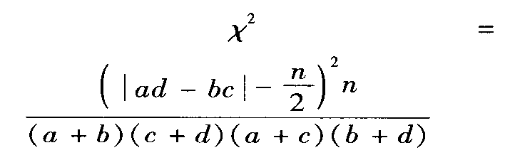
[单选题]在四格表的x2检验中,若T<1或n≤40时应选用()。A . ['B . C . D . E .