A . 
B . 
C . 
D . 
[单选题]曲面3x2+y2-z2=27在点(3,1,1)处的法线方程为().A . B . C . D .
[试题]求椭球面x2+2y2+z2=4在点(1,-1,1)处的切平面方程和法线方程.
[单选题]曲面z=y+lnx/z在点(1,1,1)处的法线方程是:()A . (x-1)/1=(y-1)/1=(z-1)/-1B . (x-1)/1=(y-1)/1=(z-1)/-2C . (x-1)/1=(y-1)/-1=(z-1)/-2D . x+y-z=1
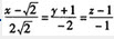
[问答题]曲面x2+2y2+3z2=21在点(1,-2,2)的法线方程为-------------.
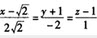
[问答题]曲面x2+2y2+3z2=21在点(1,-2,2)的法线方程为-----------.
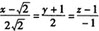
[问答题]曲面x2+2y2+3z2=21在点(1,-2,2)的法线方程为------------.
[单选题](2006)曲面z=1-x2-y2在点处的切平面方程是:()A . B . C . D .
[单选题]曲面z=x2+y2在(-1,2,5)处的切平面方程是:()A . 2x+4y+z=11B . -2x-4y+z=-1C . 2x-4y-z=-15D . 2x-4y+z=-5
[单选题]曲面z=χ2+y2在(-1,2,5)处的切平面方程是()A . 2χ+4y+z=11B . -2χ-4y+z=-1C . 2χ-4y-z=-15D . 2χ-4y+z=-5
[单选题]已知曲面方程为x2+y2+z2-2x+8y+6z=10,则过点(5,-2,1)的切平面方程为()。A.2x+y+2z=0B.2x+y+2z=10C.x