A . 
B . 
C . 
D . 
[单选题]二次积分交换积分次序后的二次积分是()。A . B . C . D .
[单选题]将二次积分化为极坐标形式的二次积分是().A . B . C . D .
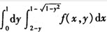
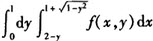
[单选题],交换积分次序得()[其中f(x,y)是连续函数]。A . B . C . D .
[单选题]化二次积分为极坐标系下的二次积分,f(x,y)dy的值是:()A . f(rcosθrsinθ)rdrB . f(rcosθ,rsinθ)rdrC . f(rcosθrsinθ)rdrD . f(rcosθ,rsinθ)rdr
[问答题]交换积分次序---------------.
[问答题]交换积分次序----------.
[问答题]交换积分次序---------------.
[主观题]偶尔考考微积分,如中值定理,求复杂函数的二次导数
[单选题]将(其中D:x2+y2≤1)转化为极坐标系下的二次积分,其形式为()。A . B . C . D .
[单选题]设D={(x,y)x2+y2≤y,x≥0},则二重积分化为极坐标下的累次积分为().A . B . C . D .
