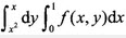
二次积分
交换积分次序后的二次积分是()。
A . 
B . 
C . 
D . 
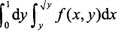
[单选题]交换积分次序,二次积分化为().A . B . C . D .
[单选题]将二次积分化为极坐标形式的二次积分是().A . B . C . D .
[单选题]化二次积分为极坐标系下的二次积分,f(x,y)dy的值是:()A . f(rcosθrsinθ)rdrB . f(rcosθ,rsinθ)rdrC . f(rcosθrsinθ)rdrD . f(rcosθ,rsinθ)rdr
[主观题]偶尔考考微积分,如中值定理,求复杂函数的二次导数
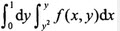
[单选题],交换积分次序得()[其中f(x,y)是连续函数]。A . B . C . D .
[单选题]惯性导航系统测出加速度后经对时间二次积分可计算出:().A . 航向B . 距离C . 航迹D . 速度
[单选题]二次电流和二次电压是指()。A . 输入到整流变压器初级的直流电流和电压;B . 输入到整流变压器初级的交流电流和电压;C . 整流变压器输出的直流电流和电压;D . 整流变压器输出的交流电流和电压。
[单选题]将(其中D:x2+y2≤1)转化为极坐标系下的二次积分,其形式为()。A . B . C . D .
[问答题] 什么是二次设备及二次回路?
[问答题] 什么是二次设备和二次回路?