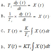
积分环节微分方程的解的一般表达式为()。

A .A
B .B
C .C
D .D
[单选题]积分环节的微分方程一般表达式为()。A .AB .BC .CD .D
[单选题]微分环节的微分方程一般表达式为()。A .AB .BC .CD .D
[单选题]一阶环节微分方程解的一般表达式为()。A .AB .BC .CD .D
[单选题]一阶环节微分方程一般表达式为()。A .AB .BC .CD .D
[单选题]下式为二阶有纯滞后特性的微分方程一般表达式,公式中的符号τ表示()参数。A .过渡时间B .滞后时间C .放大系数D .衰减系数
[单选题]二阶有纯滞后特性的微分方程一般表达式:公式中的符号τ表示()参数。A .时间B .滞后时间C .放大系数D .衰减系数
[单选题]下面两式均为二阶环节微分方程式的一般数学表达式:公式中的符号ζ表示()参数。A .系统固有频率B .过渡周期C .放大系数D .衰减系数
[单选题]表达式是()一般表达式。A . AMB . DSB-SCC . FMD . PM
[判断题] 表达式是调频信号的一般表达式。A . 正确B . 错误
[单选题]醛一般表达式可写为( )。A.RCOOR'B.ROR'C.RCOR'D.RNH2E.RCHO