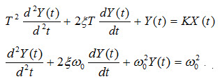
下面两式均为二阶环节微分方程式的一般数学表达式:

公式中的符号ζ表示()参数。
A .系统固有频率
B .过渡周期
C .放大系数
D .衰减系数
[单选题]一阶环节微分方程一般表达式为()。A .AB .BC .CD .D
[单选题]二阶有纯滞后特性的微分方程一般表达式:公式中的符号τ表示()参数。A .时间B .滞后时间C .放大系数D .衰减系数
[单选题]下式为二阶有纯滞后特性的微分方程一般表达式,公式中的符号τ表示()参数。A .过渡时间B .滞后时间C .放大系数D .衰减系数
[单选题]一阶环节微分方程解的一般表达式为()。A .AB .BC .CD .D
[单选题]在下面微分方程式中,当衰减系数ζ为()时,二阶振荡环节的衰减比为4∶1,为4∶1衰减振荡曲线。A .ζ<0B .ζ=0C .ζ=0.216D .ζ=0.632
[单选题]在下面微分方程式中,当衰减系数ζ为()时,二阶振荡环节的响应曲线呈等幅振荡曲线。A .0<ζB .ζ=0C .ζ<1D .0<ζ<1
[单选题]微分环节的微分方程一般表达式为()。A .AB .BC .CD .D
[单选题]积分环节的微分方程一般表达式为()。A .AB .BC .CD .D
[单选题]积分环节微分方程的解的一般表达式为()。A .AB .BC .CD .D
[判断题] 用二阶微分方程描述的电路称为二阶电路。A . 正确B . 错误