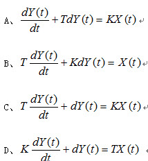
一阶环节微分方程一般表达式为()。

A .A
B .B
C .C
D .D
[单选题]一阶环节微分方程解的一般表达式为()。A .AB .BC .CD .D
[单选题]微分环节的微分方程一般表达式为()。A .AB .BC .CD .D
[单选题]积分环节的微分方程一般表达式为()。A .AB .BC .CD .D
[单选题]积分环节微分方程的解的一般表达式为()。A .AB .BC .CD .D
[单选题]下面两式均为二阶环节微分方程式的一般数学表达式:公式中的符号ζ表示()参数。A .系统固有频率B .过渡周期C .放大系数D .衰减系数
[单选题]方程()是一阶线性微分方程。A.B.C.D.
[单选题]二阶有纯滞后特性的微分方程一般表达式:公式中的符号τ表示()参数。A .时间B .滞后时间C .放大系数D .衰减系数
[单选题]下式为二阶有纯滞后特性的微分方程一般表达式,公式中的符号τ表示()参数。A .过渡时间B .滞后时间C .放大系数D .衰减系数
[单选题]下列微分方程中,一阶线性齐次方程是A.B.C.D.
[单选题]下列一阶微分方程中,哪一个是一阶线性方程()?A . (xey-2y)dy+eydx=0B . xy′+y=ex+yC . [x/(1+y)]dx-[y/(1+x)]dy=0D . dy/dx=(x+y)/(x-y)