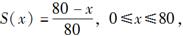
[单选题]

给定生存分布函数为:则6m20=(  )。

A.1/52

B.1/54

C.1/57

D.1/59

E.1/60

参考答案与解析:

相关试题

给定生存分布函数为:<img border="0" src="https://img.zhaotiba.com/fujian/20220830/c5abhylykz

[单选题]给定生存分布函数为:则6m20=(  )。A.1/52B.1/54C.1/57D.1/59E.1/60

  • 查看答案
  • 已知生存函数为<img border="0" src="https://img.zhaotiba.com/fujian/20220830/mcikdx5uhyd.p

    [单选题]已知生存函数为,且=40,则Var[T(20)]=(  )。A.512.6B.533.3C.542.5D.565.5E.572.4

  • 查看答案
  • 设新生婴儿的生存函数为<img border="0" src="https://img.zhaotiba.com/fujian/20220830/mbaj3dob0

    [单选题]设新生婴儿的生存函数为则对于一个40岁的人,下列计算中正确的是(  )。(1)生存函数为;(2)死亡力函数为;(3)密度函数为。A.(1)(2)(3)

  • 查看答案
  • <img border="0" src="https://img.zhaotiba.com/fujian/20220830/0a5jaolturb.jpg &quo

    [单选题]该施工企业的工程结算利润为()万元。A.11B.15C.26D.36

  • 查看答案
  • 已知生存函数为<img border="0" src="https://img.zhaotiba.com/fujian/20220830/xf51kctuk2h.p

    [单选题]已知生存函数为,且=40,则Var[T(20)]=(  )。A.512.6B.533.3C.542.5D.565.5E.572.4

  • 查看答案
  • <img border="0" src="https://img.zhaotiba.com/fujian/20220830/fkrsochmov5.jpg &quo

    [单选题]2008年我国发生了()通货膨胀。A.温和式B.爬行式C.隐蔽型D.公开型

  • 查看答案
  • 已知:<img border="0" src="https://img.zhaotiba.com/fujian/20220830/r5tijghmed0.png &

    [单选题]已知:,则年龄为19岁的人在36岁至75岁之间死亡的概率为(  )。A.1/9B.1/8C.1/6D.1/5E.1/3

  • 查看答案
  • <img border="0" src="https://img.zhaotiba.com/fujian/20220830/0kcbicd5jaw.jpg &quo

    [单选题]该工程签约时的合同价款为()万元。A.123.00B.141.00C.149.46D.154.56

  • 查看答案
  • <img border="0" src="https://img.zhaotiba.com/fujian/20220830/5olbubj0xdh.jpg &quo

    [多选题]关于个人所得税申报的说法,错误的有()。A.王先生不是个人所得税白行申报纳税的纳税义务人B.王先生稿酬收入的个人所得税由出版社代扣代缴C.如果王先生的

  • 查看答案
  • <img border="0" src="https://img.zhaotiba.com/fujian/20220830/0jouxknpynu.jpg &quo

    [多选题]下列投资项目评估方法中,属于相对值比较法的有()。A.现值成本法B.净现值指数法C.内含收益率法D.净现值法

  • 查看答案
  • 给定生存分布函数为:<img border="0" src="https://img.zhaotiba.com/fujian/20220830/nxl5zip0tl