[单选题]

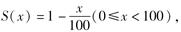
设新生婴儿的生存函数为则对于一个40岁的人,下列计算中正确的是(  )。
(1)生存函数为;(2)死亡力函数为;(3)密度函数为

A.(1)(2)(3)

B.(1)(2)

C.(1)(3)

D.(2)(3)

E.(1)

参考答案与解析:

相关试题

设新生婴儿的生存函数为<img border="0" src="https://img.zhaotiba.com/fujian/20220830/i4yb3cccf

[单选题]设新生婴儿的生存函数为则对于一个40岁的人,下列计算中正确的是(  )。(1)生存函数为;(2)死亡力函数为;(3)密度函数为。A.(1)(2)(3)

  • 查看答案
  • 已知生存函数为<img border="0" src="https://img.zhaotiba.com/fujian/20220830/mcikdx5uhyd.p

    [单选题]已知生存函数为,且=40,则Var[T(20)]=(  )。A.512.6B.533.3C.542.5D.565.5E.572.4

  • 查看答案
  • 给定生存分布函数为:<img border="0" src="https://img.zhaotiba.com/fujian/20220830/c5abhylykz

    [单选题]给定生存分布函数为:则6m20=(  )。A.1/52B.1/54C.1/57D.1/59E.1/60

  • 查看答案
  • 给定生存分布函数为:<img border="0" src="https://img.zhaotiba.com/fujian/20220830/nxl5zip0tl

    [单选题]给定生存分布函数为:则6m20=(  )。A.1/52B.1/54C.1/57D.1/59E.1/60

  • 查看答案
  • 设死亡力函数为:<img border="0" src="https://img.zhaotiba.com/fujian/20220830/oigqv4vyqjm.

    [单选题]设死亡力函数为:则P(30<x≤35|x>20)=(  )。A.0.0327B.0.0428C.0.0625D.0.0728E.0.0825

  • 查看答案
  • 已知如下生存函数:<img border="0" src="https://img.zhaotiba.com/fujian/20220830/p2v3nzgkewv

    [单选题]已知如下生存函数:中位数年龄为75岁,则的值为(  )。A.12.5B.16.7C.20.0D.25.4E.33.3

  • 查看答案
  • 已知生存函数为<img border="0" src="https://img.zhaotiba.com/fujian/20220830/xf51kctuk2h.p

    [单选题]已知生存函数为,且=40,则Var[T(20)]=(  )。A.512.6B.533.3C.542.5D.565.5E.572.4

  • 查看答案
  • 设<img border="0" src="https://img.zhaotiba.com/fujian/20220830/fu3bzxl0n0q.jpg &qu

    [单选题]设(t≥0;j=1,2,…,m),则下列说法正确的有(  )。(1)f(t,j)=;(2)h(j)=;(3)g(t)=;(4)T与J的相互独立。A.(

  • 查看答案
  • 设死亡力函数为:<img border="0" src="https://img.zhaotiba.com/fujian/20220830/c2h1vjrahuq.

    [单选题]设死亡力函数为:则P(30<x≤35|x>20)=(  )。A.0.0327B.0.0428C.0.0625D.0.0728E.0.0825

  • 查看答案
  • <img border="0" src="https://img.zhaotiba.com/fujian/20220830/voeilfmyhi3.jpg &quo

    [单选题]根据市场和企业状况,装配车间15-8型号汽车的投入量调整为15000台,则齿轮加工车间的A1-001型号齿轮出产量是()个。A.14000B.1450

  • 查看答案
  • 设新生婴儿的生存函数为<img border="0" src="https://img.zhaotiba.com/fujian/20220830/mbaj3dob0