[单选题]

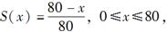
给定生存分布函数为:则6m20=(  )。

A.1/52

B.1/54

C.1/57

D.1/59

E.1/60

参考答案与解析:

相关试题

给定生存分布函数为:<img border="0" src="https://img.zhaotiba.com/fujian/20220830/nxl5zip0tl

[单选题]给定生存分布函数为:则6m20=(  )。A.1/52B.1/54C.1/57D.1/59E.1/60

  • 查看答案
  • 已知生存函数为<img border="0" src="https://img.zhaotiba.com/fujian/20220830/mcikdx5uhyd.p

    [单选题]已知生存函数为,且=40,则Var[T(20)]=(  )。A.512.6B.533.3C.542.5D.565.5E.572.4

  • 查看答案
  • 设新生婴儿的生存函数为<img border="0" src="https://img.zhaotiba.com/fujian/20220830/mbaj3dob0

    [单选题]设新生婴儿的生存函数为则对于一个40岁的人,下列计算中正确的是(  )。(1)生存函数为;(2)死亡力函数为;(3)密度函数为。A.(1)(2)(3)

  • 查看答案
  • 已知生存函数为<img border="0" src="https://img.zhaotiba.com/fujian/20220830/xf51kctuk2h.p

    [单选题]已知生存函数为,且=40,则Var[T(20)]=(  )。A.512.6B.533.3C.542.5D.565.5E.572.4

  • 查看答案
  • <img border="0" src="https://img.zhaotiba.com/fujian/20220830/fkrsochmov5.jpg &quo

    [单选题]2008年我国发生了()通货膨胀。A.温和式B.爬行式C.隐蔽型D.公开型

  • 查看答案
  • <img border="0" src="https://img.zhaotiba.com/fujian/20220830/0a5jaolturb.jpg &quo

    [单选题]该施工企业的工程结算利润为()万元。A.11B.15C.26D.36

  • 查看答案
  • 已知如下生存函数:<img border="0" src="https://img.zhaotiba.com/fujian/20220830/p2v3nzgkewv

    [单选题]已知如下生存函数:中位数年龄为75岁,则的值为(  )。A.12.5B.16.7C.20.0D.25.4E.33.3

  • 查看答案
  • 已知随机变量X的分布函数为:<img border="0" src="https://img.zhaotiba.com/fujian/20220830/cpwt1c

    [单选题]已知随机变量X的分布函数为:则年龄为20岁的人在30岁到40岁之间的死亡概率为(  )。A.0.1451B.0.1652C.0.1754D.0.185

  • 查看答案
  • 设新生婴儿的生存函数为<img border="0" src="https://img.zhaotiba.com/fujian/20220830/i4yb3cccf

    [单选题]设新生婴儿的生存函数为则对于一个40岁的人,下列计算中正确的是(  )。(1)生存函数为;(2)死亡力函数为;(3)密度函数为。A.(1)(2)(3)

  • 查看答案
  • <img border="0" src="https://img.zhaotiba.com/fujian/20220830/f3yvwlpfy5c.jpg &quo

    [单选题]该运输公司在2010年的利润总额为()万元。A.646B.786C.1008D.1128E.1354

  • 查看答案
  • 给定生存分布函数为:<img border="0" src="https://img.zhaotiba.com/fujian/20220830/c5abhylykz