[单选题]

函数在[-π,π]上的第一类间断点是x=(  ).

A.0

B.1

C.-π/2

D.π/2

参考答案与解析:

相关试题

求函数<img border="0" src="https://img.zhaotiba.com/fujian/20220821/gnitjmexms4.jpeg

[问答题]求函数的间断点。

  • 查看答案
  • 求函数<img border="0" src="https://img.zhaotiba.com/fujian/20220821/4xsp3nlsiba.jpeg

    [问答题]求函数的间断点。

  • 查看答案
  • 设函数<img border="0" src="https://img.zhaotiba.com/fujian/20220821/d3jphamoyb3.jpeg

    [单选题]设函数在内连续,且,则常数a、b满足(  )。A.B.C.D.

  • 查看答案
  • <img border="0" src="https://img.zhaotiba.com/fujian/20220821/4cwjhdsm3mn.jpeg &qu

    [单选题]2010年一季度GDP总量居第四位的城市是()。A.北京B.天津C.重庆D.广州E.上海

  • 查看答案
  • <img border="0" src="https://img.zhaotiba.com/fujian/20220821/3gsydjawkpk.jpeg &qu

    [单选题](  ).A.1/3B.3C.1D.0

  • 查看答案
  • 设函数<img border="0" src="https://img.zhaotiba.com/fujian/20220821/pmqfwln1knb.jpeg

    [单选题]设函数在内连续,且,则常数a、b满足(  )。A.B.C.D.

  • 查看答案
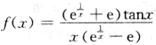
  • 函数<img border="0" src="https://img.zhaotiba.com/fujian/20220821/xrxi2vhcf54.jpeg &

    [单选题]函数在[-π,π]上的第一类间断点是x=(  ).A.0B.1C.-π/2D.π/2

  • 查看答案
  • 设函数<img border="0" src="https://img.zhaotiba.com/fujian/20220821/oghg2zktlia.jpeg

    [单选题]设函数在内连续,且,则常数a、b满足(  )。A.B.C.D.

  • 查看答案
  • 求函数<img border="0" src="https://img.zhaotiba.com/fujian/20220821/ealzslbv15p.jpeg

    [问答题]求函数的间断点。

  • 查看答案
  • 设函数<img border="0" src="https://img.zhaotiba.com/fujian/20220821/0v1vcrukxnz.jpeg

    [单选题]设函数在内连续,且,则常数a、b满足(  )。A.B.C.D.

  • 查看答案
  • 函数<img border="0" src="https://img.zhaotiba.com/fujian/20220821/4patmwbx3lk.jpeg &