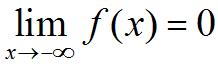
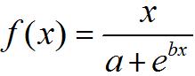
在
内连续,且
,则常数a、b满足( )。A.
B.
C.
D.
[单选题]函数在[-π,π]上的第一类间断点是x=( ).A.0B.1C.-π/2D.π/2
[单选题]设当时,是比高阶的无穷小,而是比高阶的无穷小,则正整数n为( )。A.1B.2C.3D.4
[单选题]设函数在内连续,且,则常数a、b满足( )。A.B.C.D.
[单选题]设函数在内连续,且,则常数a、b满足( )。A.B.C.D.
[单选题]设函数在内连续,且,则常数a、b满足( )。A.B.C.D.
[问答题]求函数的间断点。
[单选题]设f(x)为连续函数,且f(0)=0,f′(x)>0,则y=F(x)在(0,+∞)内是( ).A.递增且为凹弧B.递增且为凸弧C.递减且为凹弧D.递
[单选题]( ).A.1/3B.3C.1D.0
[问答题]---------------------.
[问答题]设函数,g(x)二次可导,满足函数方程g(x)=1,又0,则