
A.f(0)是f(x)的极大值
B.f(0)是f(x)的极小值
C.f(0)不是f(x)的极值
D.不能判定f(0)是否为极值
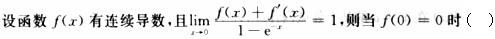
[单选题]A.f(0)是f(x)的极大值B.f(0)是f(x)的极小值C.f(0)不是f(x)的极值D.不能判定f(0)是否为极值
[单选题]A.f(0)是f(x)的极大值B.f(0)是f(x)的极小值C.f(0)不是f(x)的极值D.不能判定f(0)是否为极值
[单选题]A.f(0)是f(x)的极大值B.f(0)是f(x)的极小值C.f(0)不是f(x)的极值D.不能判定f(0)是否为极值
[单选题]A.f(0)是f(x)的极大值B.f(0)是f(x)的极小值C.f(0)不是f(x)的极值D.不能判定f(0)是否为极值
[单选题]A.f(0)是f(x)的极大值B.f(0)是f(x)的极小值C.f(0)不是f(x)的极值D.不能判定f(0)是否为极值
[单选题]A.f(0)是f(x)的极大值B.f(0)是f(x)的极小值C.f(0)不是f(x)的极值D.不能判定f(0)是否为极值
[单选题]A.f(0)是f(x)的极大值B.f(0)是f(x)的极小值C.f(0)不是f(x)的极值D.不能判定f(0)是否为极值
[单选题]A.f(0)是f(x)的极大值B.f(0)是f(x)的极小值C.f(0)不是f(x)的极值D.不能判定f(0)是否为极值
[单选题]A.f(0)是f(x)的极大值B.f(0)是f(x)的极小值C.f(0)不是f(x)的极值D.不能判定f(0)是否为极值
[单选题]A.不变B.增大C.减小D.先增大后减小E.先减小后增大